Silvertone 8-Tube Superheterodyne Order= 57DM 1713
Sears, Roebuck & Co.; Chicago (IL)
- País
- Estados Unidos
- Fabricante / Marca
- Sears, Roebuck & Co.; Chicago (IL)
- Año
- 1933/1934
- Categoría
- Radio - o Sintonizador pasado WW2
- Radiomuseum.org ID
- 55916
-
- Brand: Silvertone
Haga clic en la miniatura esquemática para solicitarlo como documento gratuito.
- Numero de valvulas
- 7
- Numero de transistores
- Semiconductores
- 31_Ballast
- Principio principal
- Superheterodino en general; ZF/IF 175 kHz
- Gama de ondas
- OM, OC y banda Pesquera (policia USA)
- Tensión de funcionamiento
- Baterías recargables o pilas / 135 & 2-3 & 6 & -4.5 & -1.5 & -4.5 Volt
- Altavoz
- Altavoz dinámico (de imán permanente) / Ø 7.7 inch = 19.6 cm
- Material
- Madera
- de Radiomuseum.org
- Modelo: Silvertone 8-Tube Superheterodyne Order= 57DM 1713 - Sears, Roebuck & Co.; Chicago
- Forma
- Consola baja, patas más cortas del 50%.
- Ancho, altura, profundidad
- 24 x 39.3 x 14.3 inch / 610 x 998 x 363 mm
- Precio durante el primer año
- 56.00 $
- Ext. procedencia de los datos
- Ernst Erb
- Procedencia de los datos
- The Radio Collector's Directory and Price Guide 1921 - 1965
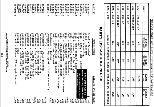
- Referencia esquema
- Rider's Perpetual, Volume 4 = ca. 1934 and before
- Mencionado en
- The Sears Silvertone Catalogs 1930-1942 (page 70)
- Documentación / Esquemas (1)
- Riders 4-18, 19
- Documentación / Esquemas (2)
- Sears, Roebuck Catalogs (Silvertone) (#167, Fall & Winter 1933/34, page 631. #168, Spring & Summer 1934, page 368.)
- Otros modelos
-
Donde encontrará 5533 modelos, 3235 con imágenes y 4241 con esquemas.
Ir al listado general de Sears, Roebuck & Co.; Chicago (IL)