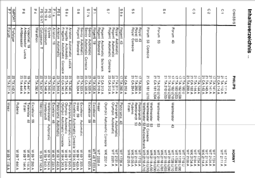
Forum 53 21TA210U /10 Ch= S4
Philips - Österreich
- Paese
- Austria
- Produttore / Marca
- Philips - Österreich
- Anno
- 1959
- Categoria
- Televisore (TV) / Monitor
- Radiomuseum.org ID
- 84481
Clicca sulla miniatura dello schema per richiederlo come documento gratuito.
- Numero di tubi
- 20
- Valvole
- PCC88 PCF80 EF80 EF80 EF80 EF80 EF80 PCL82 PCL84 ECC81 PCF80 PCF80 ECH81 PCL82 PL81 PY81 DY87 PY82 PY82 AW53-80
- Principio generale
- Supereterodina (in generale)
- Gamme d'onda
- Gamme d'onda nelle note.
- Tensioni di funzionamento
- Alimentazione universale (doppia: CC/CA) / 220 Volt
- Altoparlante
- AP magnetodinamico (magnete permanente e bobina mobile)
- Materiali
- Mobile in legno
- Radiomuseum.org
- Modello: Forum 53 21TA210U /10 Ch= S4 - Philips - Österreich
- Forma
- Soprammobile con pulsantiera/tastiera.
- Dimensioni (LxAxP)
- 610 x 530 x 470 mm / 24 x 20.9 x 18.5 inch
- Annotazioni
-
Ausführung mit 5 Tasten und Abstimmanzeige "Bildmagnet".
Bei gedrückter Taste "Abstimmanzeige" dunkler, senkrechter Balken im Bild. Breite abhängig von der optimalen Senderabstimmung.
Empfangsbereich: Band I + III, Kanal 2a - 4, 5 - 12.Parallelgerät zum Horny WT2118U/10.
- Prezzo nel primo anno
- 7,450.00 ATS
- Fonte dei dati
- Radiokatalog Band 2, Ernst Erb
- Letteratura / Schemi (1)
- -- Original-techn. papers.
- Autore
- Modello inviato da Hannes Wurnitsch. Utilizzare "Proponi modifica" per inviare ulteriori dati.
- Altri modelli
-
In questo link sono elencati 1077 modelli, di cui 1011 con immagini e 854 con schemi.
Elenco delle radio e altri apparecchi della Philips - Österreich